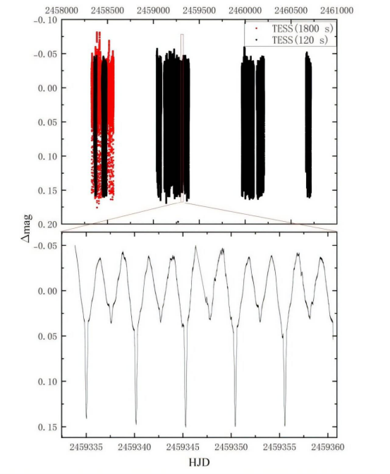
Chinese astronomers used NASA's Transiting Exoplanet Survey Satellite (TESS) to observe a classical Algol-type eclipsing binary star numbered V455 Car. The observation results were published in the New Astronomy journal.

Classical Algol-type binaries are semi-detached systems where the less massive component fills its Roche lobe and transfers mass to the more massive component, leading to mass and angular momentum loss. They belong to the eclipsing binary type and are related to the prototype member of this class (namely β Persei or Algol).
V455 Car is an oscillating eclipsing classical Algol-type binary with an orbital period of about 5.133 days. Its effective temperature is estimated to be around 18,000 K, and the mass of the primary star in the system is estimated to be about 3.5 solar masses.
Given the unclear pulsation characteristics of V455 Car, a team of astronomers led by Zhaolong Deng from the Yunnan Astronomical Observatory in China decided to study the system using the TESS satellite. Their research was supplemented by data from the European Space Agency's Gaia satellite and the Fiber-fed Extended Range Optical Spectrograph (FEROS).
The observations reveal that V455 Car is a semi-detached binary with a mass ratio of 0.298, where the companion star nearly fills its Roche lobe. The masses of the primary and companion stars are 5.3 solar masses and 1.58 solar masses, respectively.
According to the paper, the radius of the primary star in V455 Car is 3.17 solar radii, luminosity is 659 solar luminosities, and effective temperature is 16,427 K. As for its companion, it is about 6.66 times the size of the Sun, with a luminosity of about 40 solar luminosities and an estimated effective temperature of 5,619 K.
In addition, the study found that the system's semi-major axis is 23.81 solar radii and detected a periodic variation of about 26.62 years. Astronomers speculate that this variation indicates the presence of a third body in the system, with a minimum mass of 0.59 solar masses.
Summarizing the results, the paper's authors conclude that V455 Car is an Algol-type system that has undergone a rapid mass transfer phase, likely composed of a slowly pulsating B star (SPB) exhibiting stochastic low-frequency (SLF) variations and a red giant star.
"V455 Car represents an example of a binary system with an SPB/SLF primary star. Since the companion star in V455 Car nearly fills its Roche lobe, but the primary star's filling factor is extremely low, we speculate that it is a classical Algol-type system that has just undergone a rapid mass transfer phase, and its periodic variation may be attributed to the presence of a third body. The specific mass transfer mechanisms and processes require further research in the future," the researchers explained.














京公网安备 11010802043282号